2023年北京邮电大学录取分数线汇总,各省元班分数线较高
北京邮电大学由教育部直属、工业和信息化部联合建设全国重点大学,是211 工程高校,双一流建设高校。学校现有海淀、昌平有11个博士学位授权一级学科点(包括1个交叉学科博士学位授权点)——集成电路科学与工程),硕士学位授权一级学科点24个(含一级学科博士点11个),专业学位博士点1个,硕士学位授权点12个,本科专业52个,21个国家一流本科专业建设点。
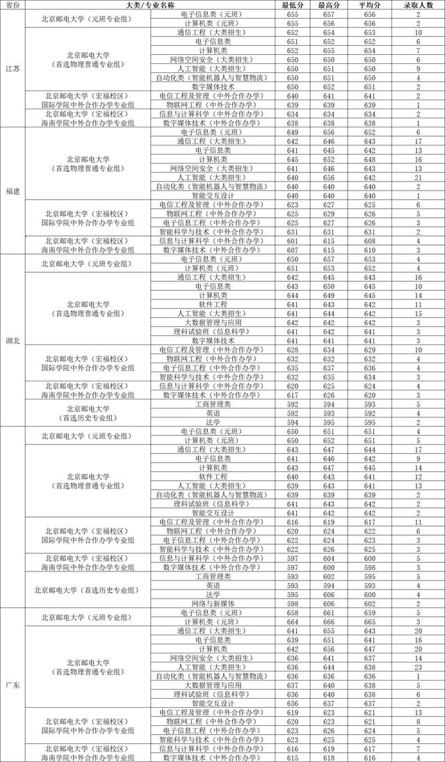
2023年,北京邮电大学3 3高考省各专业录取分数线
北京本科批(元班)电子信息类录取最低分658分,计算机类660分。
物理组录取分数较高的专业:理科实验班(信息科学)653分,计算机类652分,通信工程(大类招生)648分,智能交互设计648分,最低646分。
在浙江 本科批录取线较高的专业:计算机(元班)672分 、计算机类668分 、软件工程667分 ,理科实验班(信息科学)最低662分。
二、2023年北京邮电大学 1 2高考省各专业录取分数线
在河北普通类本科录取分数线较高的专业:计算机类(元班)657分,计算机类653分,通信工程(大类招生)648分,软件工程646分,最低642分。
在江苏本科批(元班)录取分数线:电子信息(元班)655分,计算机(元班)655分。
在本科批(元班)录取分数线:电子信息(元班)655分,计算机(元班)655分。普通物理组录取分数线较高的专业:通信工程(大类招生)652分,电子信息651分,计算机652分,最低650分。
2023年,北京邮电大学在传统高考省份各专业录取分数线在河南一批理工科录取分数线较高的本科专业:电子信息(元班)650分,计算机645分,通信工程(大类招生)643分,最低638分。
文科专业录取分数线:
工商管理类617分、616分,法学622分,
网络和新媒体
在一批科技录取分数线较高的本科专业:计算机(元班)663分,计算机656分,通信工程(大类招生)654分,最低650分。文科专业录取分数线:工商管理586分,英语582分,法学582分,网络和新媒体595分。
四、2023年北京邮电大学国家专项各省各专业录取分数线

预科
各省各专业录取分数线 来自北京邮电大学官网的资料,本文仅供参考,如有侵权,请联系删除!
相关文章

最新评论